Our projects: ScaleModels.ru : Search : ScaleWiki : Souvenir Shop :
Вход Карта Популярные Свежие Login with OpenID Зарегистрироваться
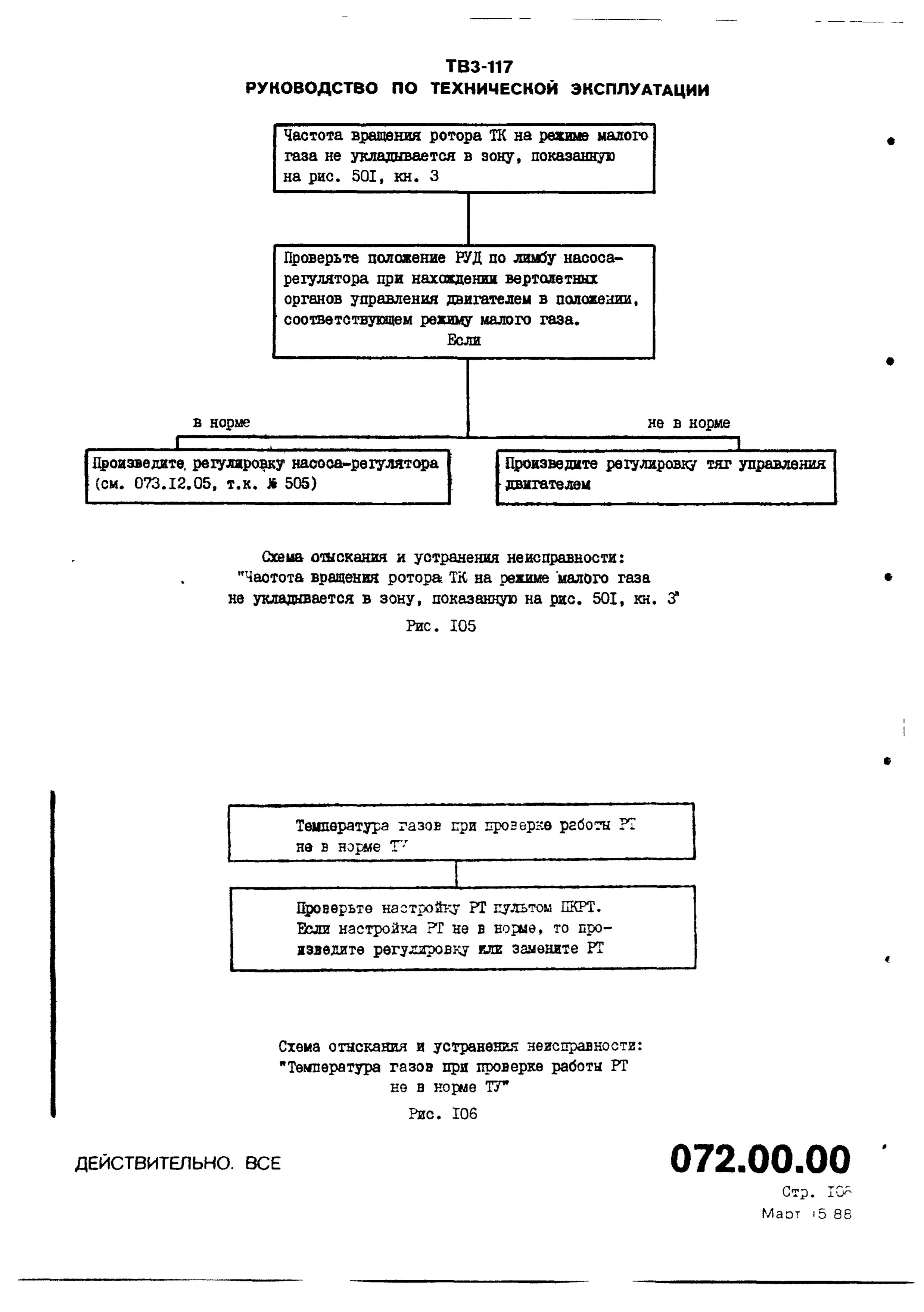
Галерея Технические описания Турбовальный двигатель ТВ3-117. Руководство по технической эксплуатации. Книга 1. TV3-117_RTE_B1_041


Расширенный поиск
Добавить фото в накопитель Экспорт RSS фото

Турбовальный двигатель ТВ3-117. Руководство по технической эксплуатации. Книга 1.

1. TV3-117_RTE... ... 38. TV3-117_RTE... 39. TV3-117_RTE... 40. TV3-117_RTE... 41. TV3-117_RTE... 42. TV3-117_RTE... 43. TV3-117_RTE... 44. TV3-117_RTE... ... 525. TV3-117_RTE...

TV3-117_RTE_B1_041

Дата: 15.10.2025
Полный размер: 2475x3513
следующаяпоследняя
первая предыдущая
TV3-117_RTE_B1_041
следующаяпоследняя
первая предыдущая