Our projects: ScaleModels.ru : Search : ScaleWiki : Souvenir Shop :
Вход Карта Популярные Свежие Login with OpenID Зарегистрироваться
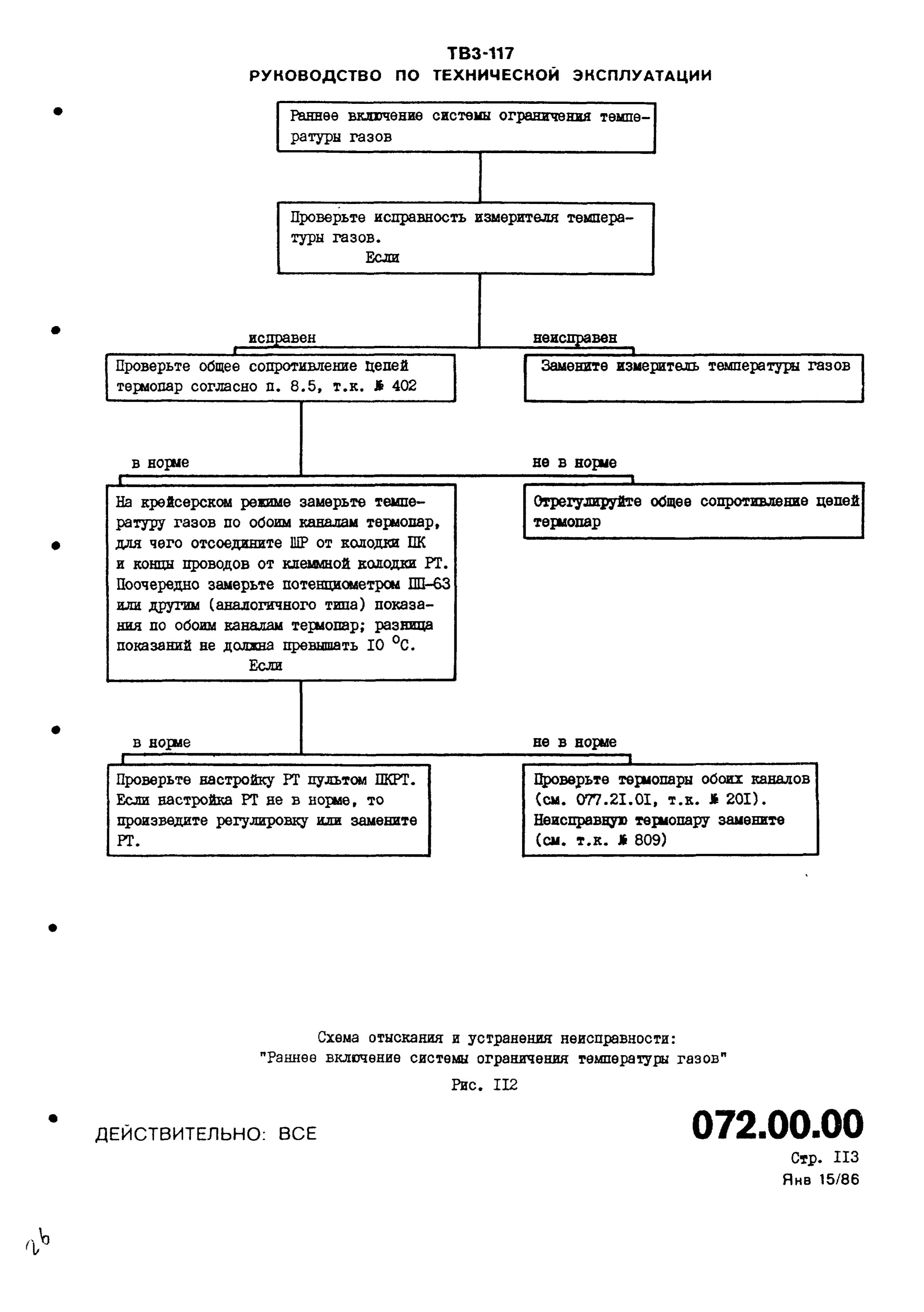
Галерея Технические описания Турбовальный двигатель ТВ3-117. Руководство по технической эксплуатации. Книга 1. TV3-117_RTE_B1_046


Расширенный поиск
Добавить фото в накопитель Экспорт RSS фото

Турбовальный двигатель ТВ3-117. Руководство по технической эксплуатации. Книга 1.

1. TV3-117_RTE... ... 43. TV3-117_RTE... 44. TV3-117_RTE... 45. TV3-117_RTE... 46. TV3-117_RTE... 47. TV3-117_RTE... 48. TV3-117_RTE... 49. TV3-117_RTE... ... 525. TV3-117_RTE...

TV3-117_RTE_B1_046

Дата: 15.10.2025
Полный размер: 2475x3513
следующаяпоследняя
первая предыдущая
TV3-117_RTE_B1_046
следующаяпоследняя
первая предыдущая